7×24 hours online service—We always ensure that your needs are solved in time.
Create more professional and suitable solutions according to your needs.
Offer customized training courses in equipment operation and clinical applications.
Senior experts provide customers with timely and efficient online consultation.
Your feedback motivates us to continuously improve service levels and product quality.
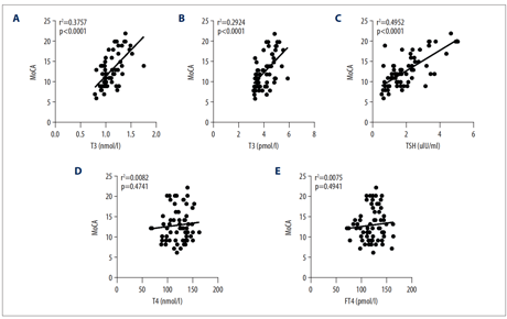
rTMS modulates thyroid hormones level and cognition in the recovery stage of stroke.
The prominent delayed effect of rTMS makes it potential in clinical practice for social pain relief.